基于FEMA P-58方法的鋼筋混凝土結構抗震及減隔震性能評估
發布時間: 2022-05-13 點擊數量:7554研究背景:
基于性能的地震工程PBEE (performance-based earthquake engineering)的思想自提出后,全世界地震多發國家(如美國、日本、中國、新西蘭、意大利、土耳其、伊朗等)都對其開展了研究和實踐。早期PBEE方法在新近地震中暴露出不足的核心問題是在性能評估和設計過程中沒有恰當地考慮和處理地震作用及復雜結構非線性行為中的不確定性。為了量化不確定性以及采用更加明確的性能指標,美國太平洋地震工程研究中心(PEER)提出的新一代基于性能地震工程的全概率方法,并在2012年頒布了FEMA P58規范,給出了理論和實施方法。減隔震結構經常被用于我國高烈度區防災關鍵建筑。為此,專門針對減隔震結構進行精細化的非線性地震反應模擬,并與抗震結構地震反應性能進行比較,采用FEMA P-58方法更加全面的評估隔震建筑與消能減震建筑在提高地震反應性能與損失的不同特性十分重要。
研究方法及結果:
依據FEMA P-58抗震性能評估理論,選擇基于強度的評估方法,對比了普通框架結構、BRB-框架結構、隔震框架結構在四個地震動強度下的結構響應情況及地震性能評估與損失進行了對比評估。
1) FEMA P-58抗震性能評估方法(圖1)選取了使非工程人員也易于理解的性能指標;采用了全概率的思想,考慮了地震損失評估中的不確定性因素;利用蒙特卡羅方法,提高了分析的精確度,降低了分析中的不確定性;采用性能組為單位進行性能評估,使性能評估具體到建筑物中的結構構件與非結構構件。
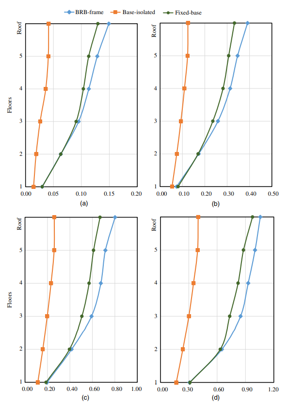
2)結構響應分析結果(圖2)顯示,與普通框架結構相比,BRB-框架結構與隔震結構在各個強度等級的地震下層間位移角均降低了40%-60%;隔震結構的頂層樓層加速度降低了45%,而BRB-框架結構頂層的樓層加速度增大25%。
3)地震損失評估結果顯示(圖3、4),采用隔震框架結構與BRB-框架結構可以有效降低建筑物在地震作用下的維修成本與維修時間。與普通框架相比,在罕遇地震作用下隔震結構的維修成本與維修時間可降低65%與58%,BRB-支撐框架結構可降低47%與34%。
該成果發表在國際權威期刊《ASCE-ASME Journal of Risk and Uncertainty in Engineering Systems, Part A: Civil Engineering》(Ke Du, Wen Bai, *Jiulin Bai, Deng Yan, Maosheng Gong, Jingjiang Sun. Comparative Seismic Performance Assessment of Reinforced Concrete Frame Structures with and without Structural Enhancements Using the FEMA P-58 Methodology. 2021, 7(4): 04021047. https://doi.org/10.1061/AJRUA6.0001173)(IF:1.926,*通訊作者)。

圖1 基于FEMA P-58理論進行抗震性能評估的基本流程圖


圖2 結構最大層間位移角和峰值樓層加速度分析結果

圖3 四個地震強度下三種結構的維修成本結果對比